Since 2007/12/26
×
[PR]上記の広告は3ヶ月以上新規記事投稿のないブログに表示されています。新しい記事を書く事で広告が消えます。
はじめまして。来都(送信時は本名)と申します。
平素からすばらしいサービスをご提供いただき、ありがとうございます。
楽しく使わせていただいております。
早速ですが、この度18歳未満へのアクセス年齢制限について運営者様側のご意見をお聞かせいただきたく、連絡させていただきました。
以下、利用規約より引用
4)会員は、本サービスを利用するにあたり、以下に該当する場合は、18歳未満アクセス禁止(以下、「アクセス年齢制限」といいます。)の設定を行なうものとします。
・主張(軍事、テロ、過激派、武器・兵器、自殺・家出、主張一般)
・アダルト(性行為、ヌード・半裸画像(人に限らずアニメ、漫画のキャラクターの写真、イラストも含む)、性風俗アダルト検索・リンク集)
・セキュリティ(ハッキング、不正コード配布、公開プロキシ)
・ギャンブル(ギャンブル一般)
・出会い(出会い・恋人紹介、結婚紹介)
・グロテスク(グロテスク)
・ オカルト(オカルト)
・ライフスタイル(同性愛)
・宗教(伝統的な宗教、宗教一般)
・政治活動・政党(政治活動・政党)
・ 成人嗜好(娯楽誌、喫煙、飲酒、アルコール製品、水着・下着・フェチ画像、文章による性的表現、コスプレ)
以上、利用規約より引用
以下、アクセス禁止画面より引用
≫18歳未満アクセス禁止の設定されたページです。
お客様はアクセスできません。
≫18歳未満アクセス禁止設定とは、下記内容を含む場合に適用(設定)されます。
・暴力表現
・思想に関する表現
・性的表現
・政治・金融に関する表現
以上、アクセス規制画面より引用
この内の、文言、その意味、その他に質問がございます。
以下、利用規約内の文言に対する質問
①「主張(軍事、テロ、過激派、武器・兵器、自殺・家出、主張一般)」について。
この場合の主張一般とは有害と考えられるもののみなのか、主張全般を指すのか。
②「ライフスタイル(同性愛)」について。
これは同性愛が異常で、危険かつ青少年に有害なものであるという見方から来たものなのか。
それならば差別にあたり、また差別を推進していないか。
以下、アクセス規制画面内の文言に対する質問
③「思想に関する表現」について。
思想の定義は「政治・人生に対する一定の考え」だが、この場合は社会的メッセージを込めた考察、ポエム(詩)なども規制対象なのか。
④「政治・金融に関する表現」について。
これは、政治、金融に関して18歳未満は情報を得る必要がないという見解によるものか。
また、それは現在深刻な、若者の政治への無関心を促進していないか。
その他の質問
⑤18歳未満でも、18歳未満アクセス禁止の設定さえすれば、青少年に有害な情報とされているものを書き込むことができるのか。
大変稚拙で読みにくい文章かと思いますが、利用規約と規制画面に食い違いがある(利用規約には記載されていない『金融』に対する規制)など、多くの疑問がございましたので質問させていただいた次第でございます。
お忙しいとは思いますが、ご回答よろしくお願いいたします。
平成20年8月13日
来都(送信時は本名)
(送信時メールアドレス)
以上、質問メール
以下、回答メール
いつも「W+BLOG」をご利用いただき、ありがとうございます。
お問い合わせいただきましたアクセス年齢制限について、ご解答申し上げます。
まずは、すべての該当内容を扱うブログやコミュニティに対して「18歳未満アク
セス禁止(アクセス年齢制限)」を強制するものではございません。
「18歳未満アクセス禁止(アクセス年齢制限)」は青少年の育成に著しく影響を及ぼす
内容を取り扱っていることを、広く本サービス利用者に対して注意を促すための
ものであることをまずは、ご理解くださいますようお願いいたします。
1)「主張」につきまして。
一般的な主義、主張につきましては制限の対象となることはございませんが、ご
自身の持っている主張を強行に言い募り、そのことで、第三者の思想に影響を与
えるような意見の公開場(たとえば、保守的・国粋主義的な思想など)である場
合に関しては、制限の対象とするほうが好ましいと考えております。
2)「ライフスタイル(同性愛)」につきまして。
生まれついてのものとして上げられるもの(=性同一性障害など)について知っ
てもらいたい場合などであれば、特に制限の対象とする必要はないと判断してお
ります。しかしながら、一部の同人活動や生まれついてのものであっても、その
内容が赤裸々な性生活の公開などであった場合に関しては、制限の対象とさせて
いただく場合がございます。
偏見や差別を生み出すために本項目が「18歳未満アクセス禁止(アクセス年齢制
限)」となっているものではございませんことをご理解ください。
3)「思想に関する表現」及び、4)「政治・金融に関する表現」につきまして
広い意味で捉えた場合、お客様の指摘する項目も含まれるかと思います。しかし
ながら、いずれの場合におきましても、「思想」の場合は先ほどご説明申し上げ
た「主張」にもあるとおり、第三者の思想に影響を与えるような意見の公開場
たとえば、保守的・国粋主義的な思想など)である場合に関しては、制限の対象
するほうが好ましいと考えております。それ以外の場合は特に設定をしていただ
く必要はないとの判断させていただいております。
こちらの表示に関しては、利用規約にあわせた文言への変更を行う予定となって
おります。変更と同時に行えておらず、お客様には誤解を与えてしまっておりま
すことを、お詫び申し上げます。
5)18歳未満でも、18歳未満アクセス禁止の設定さえすれば、青少年に有害な情
報とされているものを書き込むことができるのか。
「18歳未満アクセス禁止(アクセス年齢制限)」に関しては、昨今大きな問題となっ
ております未成年者のネット利用の増加に伴い実装された項目で、成人の皆さん
がが未成年者の育成に好ましくない情報から、守るために行う項目であることを
ご理解ください。
未成年者が該当項目のブログやコミュニティを運用している状況を確認した場合、
事務局からアクセス年齢制限に該当する項目を運用することが好ましくないもの
であるとして指導を行うようにしております。
本項目については、成年者の会員様が自身のブログ・コミュニティの運用内容が
「18歳未満アクセス禁止(アクセス年齢制限)」の対象になることからその設定を
行うかどうか、指導を受けた未成年者がブログやコミュニティの運用趣旨を変更
するかどうかは、終的な判断に関しましては、お客様個人の倫理観・価値観にお
任せすることとります(ただし、事務局からの指導に従わない場合、その運用内
容の状況によっては規約違反として何らかのペナルティを課す場合もございます)
これらについては、現在その対策を慎重に検討させていただいているところです。
対策が決まり、サービスへの反映を行わせていただく旨を、お知らせ等でご報告
させていただくことになりますので、今しばらくお待ちください。
今後とも「W+BLOG」をよろしくお願いいたします。
W+BLOG運営事務局
質問後すぐにご回答を頂いていたのですが、ちょっと客観視するために時間をおいてみました。
該当するブログ、コミュで設定する義務は無いようで、自分の注意力不足でした((汗
質問するに当たって全部読み込んだはずだったのですが。。。
今思い返せば少し感情的になりすぎていたのかも知れません。
質問が責めるような口調になっていますね・・・とちょっと自己解析。
これからもよろしくお願いします、運営者様m(_ _)m
平素からすばらしいサービスをご提供いただき、ありがとうございます。
楽しく使わせていただいております。
早速ですが、この度18歳未満へのアクセス年齢制限について運営者様側のご意見をお聞かせいただきたく、連絡させていただきました。
以下、利用規約より引用
4)会員は、本サービスを利用するにあたり、以下に該当する場合は、18歳未満アクセス禁止(以下、「アクセス年齢制限」といいます。)の設定を行なうものとします。
・主張(軍事、テロ、過激派、武器・兵器、自殺・家出、主張一般)
・アダルト(性行為、ヌード・半裸画像(人に限らずアニメ、漫画のキャラクターの写真、イラストも含む)、性風俗アダルト検索・リンク集)
・セキュリティ(ハッキング、不正コード配布、公開プロキシ)
・ギャンブル(ギャンブル一般)
・出会い(出会い・恋人紹介、結婚紹介)
・グロテスク(グロテスク)
・ オカルト(オカルト)
・ライフスタイル(同性愛)
・宗教(伝統的な宗教、宗教一般)
・政治活動・政党(政治活動・政党)
・ 成人嗜好(娯楽誌、喫煙、飲酒、アルコール製品、水着・下着・フェチ画像、文章による性的表現、コスプレ)
以上、利用規約より引用
以下、アクセス禁止画面より引用
≫18歳未満アクセス禁止の設定されたページです。
お客様はアクセスできません。
≫18歳未満アクセス禁止設定とは、下記内容を含む場合に適用(設定)されます。
・暴力表現
・思想に関する表現
・性的表現
・政治・金融に関する表現
以上、アクセス規制画面より引用
この内の、文言、その意味、その他に質問がございます。
以下、利用規約内の文言に対する質問
①「主張(軍事、テロ、過激派、武器・兵器、自殺・家出、主張一般)」について。
この場合の主張一般とは有害と考えられるもののみなのか、主張全般を指すのか。
②「ライフスタイル(同性愛)」について。
これは同性愛が異常で、危険かつ青少年に有害なものであるという見方から来たものなのか。
それならば差別にあたり、また差別を推進していないか。
以下、アクセス規制画面内の文言に対する質問
③「思想に関する表現」について。
思想の定義は「政治・人生に対する一定の考え」だが、この場合は社会的メッセージを込めた考察、ポエム(詩)なども規制対象なのか。
④「政治・金融に関する表現」について。
これは、政治、金融に関して18歳未満は情報を得る必要がないという見解によるものか。
また、それは現在深刻な、若者の政治への無関心を促進していないか。
その他の質問
⑤18歳未満でも、18歳未満アクセス禁止の設定さえすれば、青少年に有害な情報とされているものを書き込むことができるのか。
大変稚拙で読みにくい文章かと思いますが、利用規約と規制画面に食い違いがある(利用規約には記載されていない『金融』に対する規制)など、多くの疑問がございましたので質問させていただいた次第でございます。
お忙しいとは思いますが、ご回答よろしくお願いいたします。
平成20年8月13日
来都(送信時は本名)
(送信時メールアドレス)
以上、質問メール
以下、回答メール
いつも「W+BLOG」をご利用いただき、ありがとうございます。
お問い合わせいただきましたアクセス年齢制限について、ご解答申し上げます。
まずは、すべての該当内容を扱うブログやコミュニティに対して「18歳未満アク
セス禁止(アクセス年齢制限)」を強制するものではございません。
「18歳未満アクセス禁止(アクセス年齢制限)」は青少年の育成に著しく影響を及ぼす
内容を取り扱っていることを、広く本サービス利用者に対して注意を促すための
ものであることをまずは、ご理解くださいますようお願いいたします。
1)「主張」につきまして。
一般的な主義、主張につきましては制限の対象となることはございませんが、ご
自身の持っている主張を強行に言い募り、そのことで、第三者の思想に影響を与
えるような意見の公開場(たとえば、保守的・国粋主義的な思想など)である場
合に関しては、制限の対象とするほうが好ましいと考えております。
2)「ライフスタイル(同性愛)」につきまして。
生まれついてのものとして上げられるもの(=性同一性障害など)について知っ
てもらいたい場合などであれば、特に制限の対象とする必要はないと判断してお
ります。しかしながら、一部の同人活動や生まれついてのものであっても、その
内容が赤裸々な性生活の公開などであった場合に関しては、制限の対象とさせて
いただく場合がございます。
偏見や差別を生み出すために本項目が「18歳未満アクセス禁止(アクセス年齢制
限)」となっているものではございませんことをご理解ください。
3)「思想に関する表現」及び、4)「政治・金融に関する表現」につきまして
広い意味で捉えた場合、お客様の指摘する項目も含まれるかと思います。しかし
ながら、いずれの場合におきましても、「思想」の場合は先ほどご説明申し上げ
た「主張」にもあるとおり、第三者の思想に影響を与えるような意見の公開場
たとえば、保守的・国粋主義的な思想など)である場合に関しては、制限の対象
するほうが好ましいと考えております。それ以外の場合は特に設定をしていただ
く必要はないとの判断させていただいております。
こちらの表示に関しては、利用規約にあわせた文言への変更を行う予定となって
おります。変更と同時に行えておらず、お客様には誤解を与えてしまっておりま
すことを、お詫び申し上げます。
5)18歳未満でも、18歳未満アクセス禁止の設定さえすれば、青少年に有害な情
報とされているものを書き込むことができるのか。
「18歳未満アクセス禁止(アクセス年齢制限)」に関しては、昨今大きな問題となっ
ております未成年者のネット利用の増加に伴い実装された項目で、成人の皆さん
がが未成年者の育成に好ましくない情報から、守るために行う項目であることを
ご理解ください。
未成年者が該当項目のブログやコミュニティを運用している状況を確認した場合、
事務局からアクセス年齢制限に該当する項目を運用することが好ましくないもの
であるとして指導を行うようにしております。
本項目については、成年者の会員様が自身のブログ・コミュニティの運用内容が
「18歳未満アクセス禁止(アクセス年齢制限)」の対象になることからその設定を
行うかどうか、指導を受けた未成年者がブログやコミュニティの運用趣旨を変更
するかどうかは、終的な判断に関しましては、お客様個人の倫理観・価値観にお
任せすることとります(ただし、事務局からの指導に従わない場合、その運用内
容の状況によっては規約違反として何らかのペナルティを課す場合もございます)
これらについては、現在その対策を慎重に検討させていただいているところです。
対策が決まり、サービスへの反映を行わせていただく旨を、お知らせ等でご報告
させていただくことになりますので、今しばらくお待ちください。
今後とも「W+BLOG」をよろしくお願いいたします。
W+BLOG運営事務局
質問後すぐにご回答を頂いていたのですが、ちょっと客観視するために時間をおいてみました。
該当するブログ、コミュで設定する義務は無いようで、自分の注意力不足でした((汗
質問するに当たって全部読み込んだはずだったのですが。。。
今思い返せば少し感情的になりすぎていたのかも知れません。
質問が責めるような口調になっていますね・・・とちょっと自己解析。
これからもよろしくお願いします、運営者様m(_ _)m
PR
地球温暖化の調べものをしていて出てきたこの方程式。
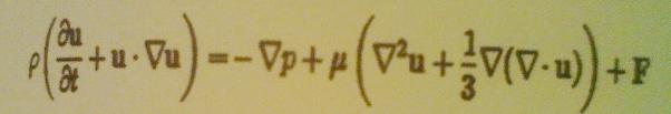
下の画像の方程式・・・
説明のとこに、
-------------------
p : 流体の密度
u : 流体の速度
p : 流体の圧力
μ: 流体の粘性率
F : 外力(重力など)
-------------------
とあるんだが・・・
今の僕には理解できない((汗
学校の友達にメールすると・・・
ええっ!?ってか理解してはいるのかww
二人に送ったのに二人とも知っているよう・・・
まあ二人とも理科、というか彼らに言わせると物理学が最強の変人コンビなので知ってても無理はないのですが、俺にはo(゜Д゜;)っ”ムーリ!
分からん・・・一部記号の読み方も分からんw
ところでpとpの読み分けってどうやるんだろ・・・?誰か・・・教えてくれ・・・
下の画像の方程式・・・
説明のとこに、
-------------------
p : 流体の密度
u : 流体の速度
p : 流体の圧力
μ: 流体の粘性率
F : 外力(重力など)
-------------------
とあるんだが・・・
今の僕には理解できない((汗
学校の友達にメールすると・・・
「説明するのめんどいからいいよ」
ええっ!?ってか理解してはいるのかww
二人に送ったのに二人とも知っているよう・・・
まあ二人とも理科、というか彼らに言わせると物理学が最強の変人コンビなので知ってても無理はないのですが、俺にはo(゜Д゜;)っ”ムーリ!
分からん・・・一部記号の読み方も分からんw
ところでpとpの読み分けってどうやるんだろ・・・?誰か・・・教えてくれ・・・
もちろん、今まで嫌々やってきたわけではないんですが、最近、ピアノを弾いてると
昨日(都合で曜日を変えてもらったんですが)、「音がキラキラしてる」・・・と言われました!
たぶん最上級の褒め言葉ですよ!
さすがに粒がそろってるとは言われませんでしたが・・・
話は変わりますが、あのマゼッパが入っている超絶技巧練習曲、自分は「狩り」と「熱情」が好きです><
もちろん「マゼッパ」や「幻影」も好きです(*´д`*)ハァ
「熱情」の切弦バージョンもあります。ほんとに「プチッ」って切れるんですねww
マゼッパだけ言えば
そういや最近、プロのピアニストとの才能の差にハッキリと気付きました((今更とか言うなww
でも、趣味としてでもピアノは死ぬまで続けるつもりですのでb
体が浮いてるような感覚
になるんです。昨日(都合で曜日を変えてもらったんですが)、「音がキラキラしてる」・・・と言われました!
たぶん最上級の褒め言葉ですよ!
さすがに粒がそろってるとは言われませんでしたが・・・
話は変わりますが、あのマゼッパが入っている超絶技巧練習曲、自分は「狩り」と「熱情」が好きです><
もちろん「マゼッパ」や「幻影」も好きです(*´д`*)ハァ
ベレゾフスキー
の演奏が神すぐるので是非ニコ動で見てみてください!12曲全曲そろってますので。「熱情」の切弦バージョンもあります。ほんとに「プチッ」って切れるんですねww
マゼッパだけ言えば
ミロスラフ・クルティシェフ
っていう人の方が自分の好みだったりします・・・と語りすぎた気もするのでここまでにしておきますねノシそういや最近、プロのピアニストとの才能の差にハッキリと気付きました((今更とか言うなww
でも、趣味としてでもピアノは死ぬまで続けるつもりですのでb